Расчет теплообменника
Для расчета теплообменного оборудования необходимо знать величину теплоёмкости, теплосодержание (энтальпию), а также количество теплоты химических или фазовых превращений.
Для расчета теплообменника, предлагаем вам заполнить специальные формы:
- Пластинчатый теплообменник (ПТО) для воды
- Пластинчатый теплообменник (ПТО) для пара
Теоретические сведения
На практике расчёт теплообменника проводят, используя величину среднего значения теплоёмкости, которая определяется в некотором интервале температур согласно формуле.
Q — количество тепла, (t2-t1) — температурный интервал.
Удельную энтальпию (расчёт параметра ведётся от 0 0С и до заданной температуры) определяют уравнением:
Удельная теплота химических или фазовых превращений (количество теплоты, выделяемое или поглощаемое при химической реакции или изменении агрегатного состояния вещества) измеряется на единицу массы вещества.
«Внутренний» метод составления теплового баланса
В системе происходит теплообмен между двумя жидкими средами, которые разделены теплопередающей перегородкой.
Если процесс происходит без выделения (или поглощения) теплоты в фазовых или химических превращениях, а также при условии, что нет потерь в окружающую среду, то для расчёта теплообменника количество теплоты определяют по формуле:
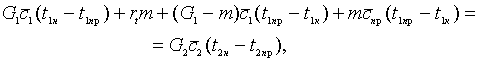
Если фазовые или химические превращения происходят в первой среде, то уравнение теплового баланса будет иметь следующий вид:
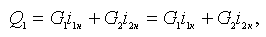
«Внешний» метод составления теплового баланса
При расчёте теплообменника этим методом тепловой баланс определяют по количеству тепла Q1, которое поступает в теплообменник за 1 час с входящими средами. Оно будет равно суммарному количеству теплоты, покидающему аппарат за это же время.
Если в системе происходят фазовые или химические превращения, то количество теплоты будет определяться согласно формуле:
Кинетика теплопередачи
Существуют три механизма передачи тепла: теплопроводность, конвекция и излучение.
Передача тепла через теплопроводность описывается законом Фурье:
где ? — коэффициент пропорциональности (также его называют коэффициентом теплопроводности). Параметр определяет скорость передачи тепла в единицу времени через единицу поверхности при определённой разности температур.
Передача тепла конвекцией определяет механизм переноса тепла через объёмы перемещаемых сред. Этот процесс описывает закон Ньютона:
где ? - коэффициент теплоотдачи.
При расчёте теплообменника необходимо учесть:
- Тип рабочих сред (системы вода–вода, масло-вода, пар-вода и т.п.);
- Величину тепловой нагрузки или мощность;
- Расход среды в единицу времени (определяется, если не удаётся установить тепловую нагрузку;
- Входная температура среды;
- Выходная температура среды;
- Вязкость рабочей среды;
- Средний температурный напор;
- Степень загрязненности среды (нужна в особых случаях).
Любой из параметров, при расчете теплообменника, может оказать существенное влияние на конструкцию теплообменного аппарата, то есть в конечном итоге сказаться на его цене. Цель теплотехнического расчёта теплообменника — определить оптимальную площадь теплопередачи, то есть собрать установку, максимально подходящую по своим параметрам к конкретному теплотехническому процессу.
- Расчет кожухотрубного теплообменника
- Расчет теплообменника для бассейна
- Расчет теплообменника труба в трубе
Компания «ПрофТехСервис» - произведет профессиональный расчет теплообменника в кратчайшие строки.
Этапы расчёта теплообменника
Проектирование теплообменного оборудования проводится на основании специального расчёта, поскольку от того насколько верно будут интерпретированы исходные данные будет зависеть и эксплуатация аппарата. Расчёт теплообменника осуществляется специалистами–теплотехниками с помощью установленных программ.
В промышленности применяется широкая линейка теплообменного оборудования, в ряду которой нагреватели, холодильные установки, испарители и конденсаторы. Главный параметр, необходимый для расчёта рекуперативного оборудования, — площадь поверхности теплоотдачи. Этот параметр влияет на следующие характеристики:
- Размеры оборудования.
- Сроки изготовления.
- Стоимость теплообменника.
- Условия эксплуатации.
- Скорость и сложность монтажа.
Прежде чем собрать теплообменник пластинчатый (даже самый простой) потребуется подготовить необходимый перечень данных. Обязательно понадобится информация о расходе одного из теплоносителей, а также данные по температуре обеих сред на входе и на выходе.
Параметры, необходимые для расчёта теплообменного оборудования.
Программа расчёта теплообменника позволяет установить режим движения теплоносителей. В случае вынужденного перемещения сред эту характеристику определяет критерий Рейнольдса. Кроме того, большое значение имеет сама конфигурация пространства, по которому движется теплоноситель. Эта область может быть трубной или межтрубной. Также необходимо определить расположение труб, которое может быть горизонтальным или вертикальным.
Этапы расчёта теплообменной установки
Для того чтобы рассчитать параметры теплообменного оборудования применяют специальные программы. С их помощью после внесения соответствующих данных проводят поэтапный расчёт:
- На основании средней температуры теплоносителя и усреднённого значения движущей силы проводят расчёт величины тепловой нагрузки аппарата.
- По уравнению теплового баланса определяют объём расхода второго теплоносителя.
- Устанавливают приблизительную площадь теплообмена, высчитывают размер труб. После определения режимов движения теплоносителей количество труб уточняется.
- На основании установленных ориентировочных параметров проводят предварительных подбор установки. При этом обязательно учитываются те геометрические размеры оборудования, которые изначально участвовали в расчёте (в частности, число труб и внутренний диаметр кожуха). Те показатели, которые не участвовали в предварительной прикидке, могут быть изменены. Таким образом, осуществляется оптимизация параметров к конкретным технологическим условиям.
- По всем теплоносителям проводится оценка частных коэффициентов тепловой отдачи. Для этого используются критериальные уравнения, описывающие теплообменные процессы, режимы работы и расположение трубопровода.
- Уточняется температура стенки. Определение параметров нагрева проводится как со стороны горячего, так и со стороны холодного теплоносителя.
- На основании главного уравнения теплопередачи выполняется расчёт поверхности теплообмена. После того как будет определён этот параметр окончательно выбирается нормализованный аппарат. На этом этапе работы в конструкцию установки закладывается необходимый запас прочности для обеспечения надёжной и долговременной работы оборудования. Обязательно учитывается тот факт, что в процессе эксплуатации на внутренних поверхностях труб и кожуха накапливается осадок, который приводит к снижению коэффициента теплопередачи, а следовательно к уменьшению эффективности процесса теплообмена.
Условия, влияющие на эффективность процесса теплопередачи
На процесс теплопередачи влияет ряд факторов. К улучшению теплообмена приводят различные механические устройства. Это могут быть мешалки или пневматические приспособления. Кроме того, скорость теплопередачи зависит от конфигурации поверхности теплообмена (она может быть трубчатой, плоской, рельефной, причём рельефы также могут быть разными). При расчёте подбирают наиболее оптимальную конструкцию оборудования, которая сможет обеспечить наилучшую теплопередачу.

